
‘오십견’으로 불리는 유착성관절낭염에 물리치료보다 약침치료가 유의미한 효과를 보였다는 연구 결과가 나왔다.
자생한방병원 척추관절연구소(소장 하인혁) 김두리 원장 연구팀은 “유착성관절낭염에 대한 약침치료 효과와 안전성을 입증했다”고 15일 밝혔다.
연구팀은 중등도 이상의 통증을 호소하는 유착성관절낭염 환자 50명을 약침치료군과 물리치료군으로 무작위 배정해 6주간 주 2회씩 치료하고, 13주까지 경과를 추적했다.
약침치료군에게는 신바로·황련해독탕 등의 약침이 사용됐으며, 물리치료군은 간섭파치료와 심부열치료 등을 받았다.
치료가 끝난 직후인 7주차와 최종 관찰 시점인 13주차 모두 약침치료군이 물리치료군보다 대부분의 지표에서 더 나은 결과를 보였다는 설명이다.
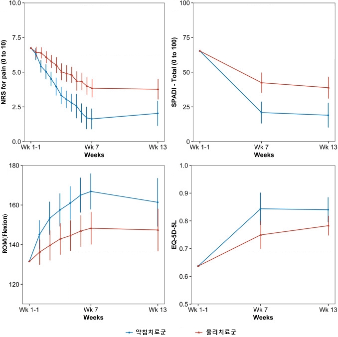
통증숫자평가척도(NRS; 0~10/높을수록 통증이 심함)로 평가한 통증 수치는 두 치료군 모두 치료 전(前) 중증 수준인 평균 7을 기록했다.
그러나 약침치료군은 7주차에 1.63으로 떨어져 약 76% 감소 폭을 보인 반면 물리치료군은 같은기간 3.85로 45% 감소했다.
통증을 시각적으로 표시하는 통증시각평가척도(VAS)에서도 약침치료군의 통증 감소 효과가 더 컸다.
기능 개선 척도인 어깨통증장애지수(SPADI; 0~100/높을수록 장애가 심함)에서도 약침치료군은 치료 전 62.6에서 7주 후 20.89로, 물리치료군에서는 67.8에서 42.42로 각각 개선됐다. 어깨 관절가동범위(ROM) 검사에서도 동일한 결과가 도출됐다.
자생한방병원 측은 "두 치료군은 삶의 질 지표에서도 유의한 차이를 보였는데, 약침치료군이 물리치료군보다 삶의 질 개선세가 뚜렷했다. EQ-5D-5L 점수(0~1, 높을수록 삶의 질 좋음)에서 7주차에 약침치료군은 0.84, 물리치료군은 0.75를 기록했으며 13주차에도 차이가 유지됐다"고 밝혔다.
한편, 이번 연구는 SCI(E)급 국제학술지 통합의학연구(Integrative Medicine Research(IF= 3.4))에 게재됐다.
'' .
( ) “ ” 15 .
50 6 2 , 13 .
, .
7 13 .
(NRS; 0~10/ ) () 7 .
7 1.63 76% 3.85 45% .
(VAS) .
(SPADI; 0~100/ ) 62.6 7 20.89, 67.8 42.42 . (ROM) .
" , . EQ-5D-5L (0~1, ) 7 0.84, 0.75 13 " .
, SCI(E) (Integrative Medicine Research(IF= 3.4)) .