'코로나19 백신 2차 접종 후 항체 98~100% 생성'
한림의대 김현수 교수팀, 백신 접종 의료진 228명 분석
2021.10.28 09:42 댓글쓰기
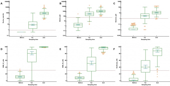
 코로나19 백신 접종 후 항체역가 변화 그래프/자료제공=한림대의료원
[데일리메디 구교윤 기자] 국내 연구진이 신종 코로나바이러스 감염증(코로나19) 백신 접종 후 특이 항체를 형성할 확률인 '항체양성률'과 항체 정량 수치를 확인할 수 있는 '항체역가'가 어떻게 달라지는지 밝혀냈다.
 
한림대학교동탄성심병원 진단검사의학과 김현수 교수(교신저자), 한림대학교강남성심병원 진단검사의학과 정세리, 이누리 교수(공동 제1저자) 연구팀은 국내 의료직 종사자 228명을 대상으로 아스트라제네카 백신 접종 전후 항체양성률과 항체역가를 중화항체를 포함한 5종류의 검사시약으로 측정했다.
 
그 결과, 코로나19 항체양성률은 접종 전 0.0~0.9%에서 1차 접종 후 66.2~92.5%로 상승했고, 2차 접종 후에는 98.2~100%까지 상승하는 것으로 나타났다. 
 
항체역가는 2차 접종 후 크게 증가했다.

연구에 따르면 검사시약에 따라 차이가 있었지만 1차 접종 후보다 2차 접종 후 항체역가가 크게 증가했다. 로슈 총항체 106.4배, 애보트 IgG 3.6배, 지멘스 IgG 3.6배, 에스디바이오센서 중화항체 1.2배, 진스크립트 중화항체 2.2배로 나타났다.
 
김현수 교수는 "건강한 성인을 대상으로 한 대규모 연구로 아스트라제네카 백신 2차 접종 후 100% 가까운 접종자에게서 항체가 생성됐고, 항체역가도 크게 증가한 것으로 확인됐다"고 말했다. 
 
그는 이어 "항체 생성이 코로나19에 대한 온전한 면역력 획득을 의미하는 것은 아니다"라며 "다른 연구에서 항체역가가 시간이 지남에 따라 감소되는 것이 확인됐고 돌파감염도 많은 만큼 백신 효과를 과신해서는 안 된다”고 강조했다.
 
한편, 이번 연구는 SCI급 국제저널인 '임상미생물학' 온라인판에 게재됐다.


댓글 1
답변 글쓰기
0 / 2000
  • 지애스 10.28 12:24
    당연히 백신 접종 1차 맞고 2차맞으면 항체는 생기는게 당연한거지 그걸로라서 그러가 그럼 항체 지속기간이 얼마나 거리리는지 백신별 연령별 남여별 구분하여 지속기간을 체크해서 얼마니 지속이 되고 부스터샷은 어제 맞아야하는지 과학적인 근거 기중을 만들어야할꺼아니야 그게 아니면 항체검사를 누구나 자유롭게 검사할수있게 해주던가 말도 않되는 애기를하고 누구나 알고있는 애기를 연구 결과를 자랑이라고 애기를하는지 진단검사의학 박사라는 사람들이 국민들이 알고싶은 연구를해야지 답답하내요~~
메디라이프 + More
e-談