
천연물 합성 경로 예측 인공지능(AI) 모델을 개발해 천연물 기반 의약품을 대량 생산할 수 있는 전기가 마련됐다.
한국과학기술원(KAIST) 김상규·황성주 교수 연구팀은 천연물 생합성 경로를 예측할 수 있는 AI기술을 개발했다고 14일 밝혔다.
연구팀은 부산대 박정빈 교수 연구팀과 협업해 누구나 해당 딥러닝 모델을 활용할 수 있도록 인터넷 웹사이트 '리드레트로(READRetro)' 도 구축했다.
식물은 환경 스트레스에 대응해 진화하는 과정에서 다양한 천연물을 합성한다. 미국 식품의약청(FDA) 승인 저분자 약물의 30% 이상이 식물의 천연물에 기초해 만들어진다.
천연물 대량 생산을 위해서는 생합성 경로를 찾아내는 것이 중요하지만 구조가 복잡해 대부분 식물에서 천연물을 직접 추출해 사용하는 방식을 채택한다.
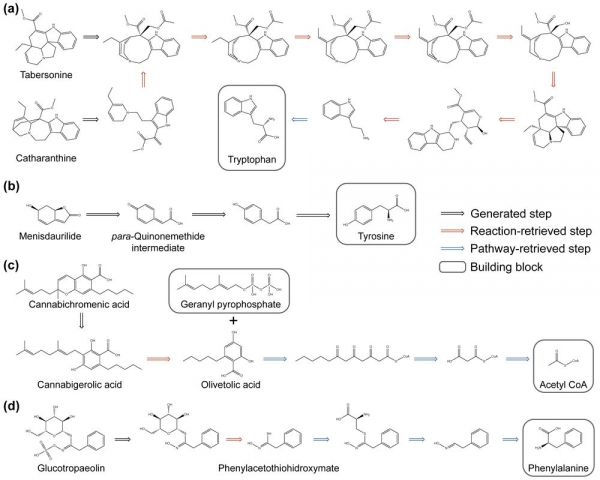
연구팀은 딥러닝을 활용해 식물이 천연물을 합성하는 경로를 역추적해 예측할 수 있는 인공지능 모델을 개발하고, 역합성을 읽어내는 모델이라는 뜻에서 '리드레트로'라고 이름 붙였다.
김상규 교수는 "리드레트로는 현존하는 천연물 역합성 예측 인공지능 모델 중 최고 성능을 보인다"면서 "천연물 기반 의약품을 대량 생산하기 위한 합성생물학 연구에 활용할 수 있을 것"이라고 말했다.
한편, 이번 연구 결과는 국제학술지 '뉴 파이톨로지스트'(New Phytologist) 최근호에 출판됐다.
?
(AI) .
(KAIST) AI 14 .
'(READRetro)' .
. (FDA) 30% .
.
, '' .
" " " " .
, ' '(New Phytologist) .